۱۲ دی ۱۴۰۴
به روز شده در: ۱۲ دی ۱۴۰۴ - ۰۳:۴۴
فیلم بیشتر »»
کد خبر ۳۷۲۱۸۵
تاریخ انتشار: ۱۵:۵۸ - ۰۱-۱۰-۱۳۹۳
کد ۳۷۲۱۸۵
انتشار: ۱۵:۵۸ - ۰۱-۱۰-۱۳۹۳

PPI چیست و چگونه محاسبه می‌شود؟

PPI مخفف عبارت Pixel Per Inch است. البته در مفهوم PPI از Pixel Density به معنای “تراکم پیکسلی” استفاده می‌شود.

با پیشرفت تکنولوژی و تولید گوشی‌های هوشمند زیاد توسط کمپانی‌های مختلف، یکی از معیارهای انتخاب کاربران برای انتخاب گوشی کیفیت صفحه نمایش است. جدا از نوع پنل صفحه نمایش که در کیفیت تاثیر مستقیم دارد، یکی دیگر از ویژگی‌‌های اصلی در این باره تراکم پیکسلی هر گوشی هوشمند می‌باشد. این روزها هر کمپانی از چندین رزولوشن مختلف بر روی چندین اندازه صفحه نمایش متنوع استفاده می‌کند و این مورد باعث شده که فاکتور PPI به یکی از مسایل مهم در انتخاب گوشی تبدیل شود. احتمالا شما نیز حین بررسی مشخصات گوشی‌ها بسیار به این واژه برخورده‌اید که مثلا فلان گوشی هوشمند تراکم پیکسلی 326 دارد و دیگری 256. 

PPI مخفف عبارت Pixel Per Inch است. البته در مفهوم PPI از Pixel Density به معنای "تراکم پیکسلی” استفاده می‌شود. PPI در اصل تراکم پیکسل‌ها در یک واحد سطح از اینج بوده و واضح است که هر چه این عدد افزایش یابد به این معناست که تعداد پیکسل‌ها در این سطح افزایش یافته و نتیجه این می‌شود که زمانی که دقیق به صفحه نمایش بنگرید، تشخیص دادن پیسکل‌ها توسط چشم انسان بسیار سخت و حتی در مواردی غیر ممکن می‌شود و در نتیجه کیفیت برای چشم بهتر به نظر رسیده و تصاویر یا فیلم‌ها را یکپارچه‌تر می‌بینیم.

اما PPI چگونه محاسبه می‌شود؟ زمانی که گوشی هوشمندی معرفی شده است، دو فاکتور رزولوشن تصویر و اندازه صفحه نمایش آن بر حسب اینچ اعلام می‌شود (که البته همان‌طور که می‌دانید این اندازه قطر صفحه نمایش است). با داشتن این 2 مقدار و با استفاده از 2 فرمول زیر می‌توانیم PPI را محاسبه نماییم.

ابتدا در این فرمول به جای Wp تعداد پیکسل‌های عرض صفحه نمایش و به جای hp تعداد پیکسل های طول صفحه نمایش را قرار می‌دهیم و Dp را به دست می‌آوریم. Dp که به دست می‌آید بیانگر تعداد پیکسل‌های قطر صفحه نمایش است (این فرمول همان رابطه فیثاغورث خودمان است، اگر پیکسل‌های عرض را قاعده در نظر بگیریم و پیکسل‌های طول را ارتفاع، در نتیجه پیکسل‌های قطر که همان وتر است به دست می‌آید).

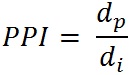
خب حالا Dp را در فرمول زیر جای‌گذاری می‌کنیم:

به جای Di نیز قطر صفحه نمایش را قرار می‌دهیم. جواب همان PPI خواهد بود.

با استناد به این فرمول واضح است که در صورت ثابت بودن رزولوشن تصویر هر چه قطر صفحه نمایش بیشتر شود، PPI پایین می‌آید و سازندگان برای حفظ کیفیت باید هم‌زمان با بزرگ‌تر کردن صفحه نمایش، رزولوشن تصویر را نیز افزایش دهند. از این رو مشاهده می‌کنیم که کم‌کم اکثر تولید‌ کنندگان گوشی‌های هوشمند به صفحه‌نمایش‌هایی با رزولوشن فول اچ‌دی و سپس QHD روی آورده‌اند.

در تصویر زیر نیز پرکاربردترین رزولوشن‌های تصویر به همراه نسبت تصویرشان آورده شده است تا شما تراکم پیکسلی این رزولوشن‌ها را بر روی هر قطر صفحه نمایشی که تمایل داشتید محاسبه کنید.

منبع: آی تی رسان

برچسب ها: تراکم پیکسلی ، ppi
ارسال به دوستان
آتش سوزی میخانه در سوئیس: 155 کشته و مجروح در شب اول سال نو چرا سالمندان کره عروسک‌بازی می‌کنند؟ «اَبَر پروژه امید» ؛ راه حل نهایی برای پایان اعتراضات و آغاز ایران جدید/ اگر تعقّل کنند! هشدار متخصص کودکان: آلودگی هوا رشد مغزی کودکان را به مخاطره می‌اندازد عکس‌های تماشایی از آخرین هیزم‌فروشان تهران را ببینید! چرا سیب‌زمینی و غلات نمی‌توانند جایگزین یکدیگر در رژیم غذایی سالم باشند؟ ساغر عزیزی: ۳ مرد شهادت دروغ دادند که من رابطه نامشروع داشتم/ نزدیک بود سنگسار شوم اعتراضات در اصفهان چرا صبح‌ها قدبلندتر و شب‌ها کوتاه‌تر هستیم؟ روسیه: برای وارد کردن آب به ایران آمادگی داریم ۴۰ کشته در جریان آتش‌سوزی در پیست اسکی سوئیس استایل زمستانی بیتا عالمی با هودی سفید و کلاه بافت (عکس) درخواست روسیه از آمریکا برای توقف تعقیب نفتکش در حال فرار انیمیشن «کابوس قبل از کریسمس»/ دنیای جذاب فانتزی های تیم برتون «بن گویر» طرح ساخت «زندان تمساح‌ها» برای اسیران فلسطینی را کلید زد